首页 > 
2011

可调控微孔介孔碳球的制备及表征

文章来源: 发布时间:2012-06-19 【字体:      

  多孔碳材料具有低密度、高比表面、丰富的自然前驱体且廉价的特性,这些特殊性质使其作为一种储氢材料,引起了广泛的科学关注。但是作为储氢材料,多孔碳的孔体系的调控修饰是一个紧迫的问题。北京科技大学物理系功能材料研究小组发展了一种简单有效的制备多孔纳米碳球的新方法,纳米碳球的孔结构可以通过控制合成条件来调控,并且对孔结构进行了研究。相关研究结果发表在2011年9月的《Journal of Alloys and Compounds》增刊上。

  该研究小组通过在氩气氛围环境下高温碳化间苯二酚-甲醛干凝胶球制备了多孔纳米碳球。在合成中,已经商业化的遮盖聚合物空心球被作为模板和单体进行聚合反应的微反应器,间苯二酚和甲醛提供碳源。利用二氧化碳活化技术进一步控制孔结构网络,改善储氢性能。利用北京同步辐射装置1W2A光束线的小角X射线散射技术研究了多孔纳米碳球的微观结构,如图1表所示。最后制备得到的碳球具有空腔直径200纳米的空心结构。空心碳球的球壁含有大量的直径为5~26 nm的介孔,孔隙率为0.52~0.91,比表面积为210~670 m2/cm3和747~1606 m2/g。由于空心碳球的孔特性随着碳源浓度的不同而改变,所以可以通过改变碳源浓度调控空心碳球的孔结构。二氧化碳活化可以进一步改善碳球的网络结构,增加材料的比表面积。

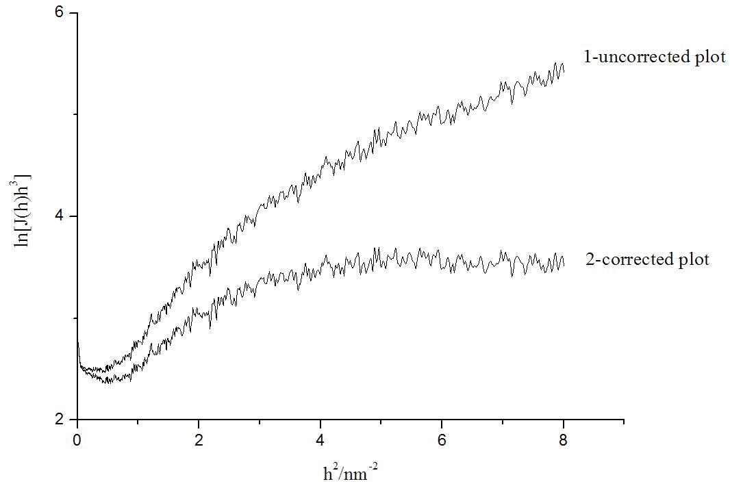
图1利用北京同步辐射装置1W2A光束线的小角X射线散射技术研究了多孔纳米碳球的微观结构

  利用北京同步辐射装置1W2A-X射线小角散射实验获得了不同碳源浓度的多孔碳球的孔结构。制备获得的碳球结构为介孔,直径为5~26 nm, 孔隙率为0.52~0.91, 比表面积为210~670 m2/cm3和747~1606 m2/g。比较活化处理过的碳球和未进过活化处理的碳球,平均孔径、孔隙率和比表面积的变化趋势基本一致。活化过的碳球的孔径和孔隙率较低,但是比表面积较高。这表明小孔更易于获得高比表面。经过二氧化碳活化处理,碳球内产生了大量微孔,减少了平均孔径,而且大量介孔的塌陷降低了材料的孔隙率。多孔碳球的比表面积达到1606 m2/g,高于商业活性炭G212的1405 m2/g。

  表1利用北京同步辐射装置1W2A-X射线小角散射实验获得了不同碳源浓度的多孔碳球的孔结构

  Sample

  RF precursor content

  Deviation

  Rg

  (nm)

  dp

  (nm)

  ac

  (nm)

  φ

  Sd

  (m2/cm3)

  Sm

  ( m2/g)

  CS-6.5

  6.5wt%

  positive

  16.1

  14.95

  1.527

  0.8467

  340.0

  1480

  CS-26

  26wt%

  positive

  15.6

  25.69

  1.659

  0.9031

  211.1

  1453

  CS-52

  52wt%

  positive

  13.7

  16.35

  1.541

  0.8587

  315.1

  1487

  AC-6.5

  6.5wt%

  positive

  15.2

  5.999

  1.887

  0.5283

  528.3

  747.2

  AC-26

  26wt%

  positive

  16.6

  16.86

  1.630

  0.8550

  304.5

  1401

  AC-52

  52wt%

  positive

  18.0

  6.575

  1.204

  0.7245

  663.3

  1606

  这个研究提供了一种新的有效且简单的合成可调控多孔碳材料的方法,制备得到的多孔碳球具有较好的低温储氢性能。同步辐射小角X射线散射技术对于揭示这种碳材料的微结构和孔体系具有重要作用。

附件下载: