2023年
您当前的位置:首页 > 科学传播 > 传媒扫描 > 2023年
【中国网】“拉索”完整记录“宇宙烟花”伽马射线暴全过程
文章来源:  2023-06-09
】 【】 【

  中国网/中国发展门户网讯 (记者王振红) 2023年6月9日,高海拔宇宙线观测站(LHAASO,中文简称“拉索”)对命名为GRB 221009A的伽马射线暴(Gamma Ray Burst,GRB)的最新观测研究成果在线发表于《科学》(Science)杂志,题为“极亮伽马射线暴221009A窄喷流的万亿电子伏特余辉”(A tera-electronvolt afterglow from a narrow jet in an extremely bright gamma-ray burst 221009A)。该论文由LHAASO国际合作组完成。本篇论文的数据分析结果由快盈v3给出,理论解释由南京大学、中国科学技术大学等提供,通讯作者为王祥玉、姚志国、戴子高、查敏、黄勇、郑见合。 

  艺术想象:拉索探测伽马射线暴GRB 221009A (中国科学院制作)

  约20亿年前,一颗比太阳重20多倍的“超级太阳”大质量恒星燃烧完其核聚变燃料,瞬间坍缩引发巨大的爆炸火球,发出了一个持续几百秒的巨大“宇宙烟花”伽马射线暴。火球与星际物质碰撞产生的大量万亿电子伏特高能伽马光子穿过茫茫宇宙,径直飞向地球,于2022年10月9日晚上21时20分50秒抵达“拉索”的视场范围,6万多个伽马光子被“拉索”收集到。经过几个月的分析,科学家们终于揭开了这场爆炸事件的面纱。

 

  “拉索”以超过250倍标准偏差的高显著水平观测到了伽马射线暴GRB 221009A的爆发。

  “拉索”首次精确测量高能光子爆发的完整过程

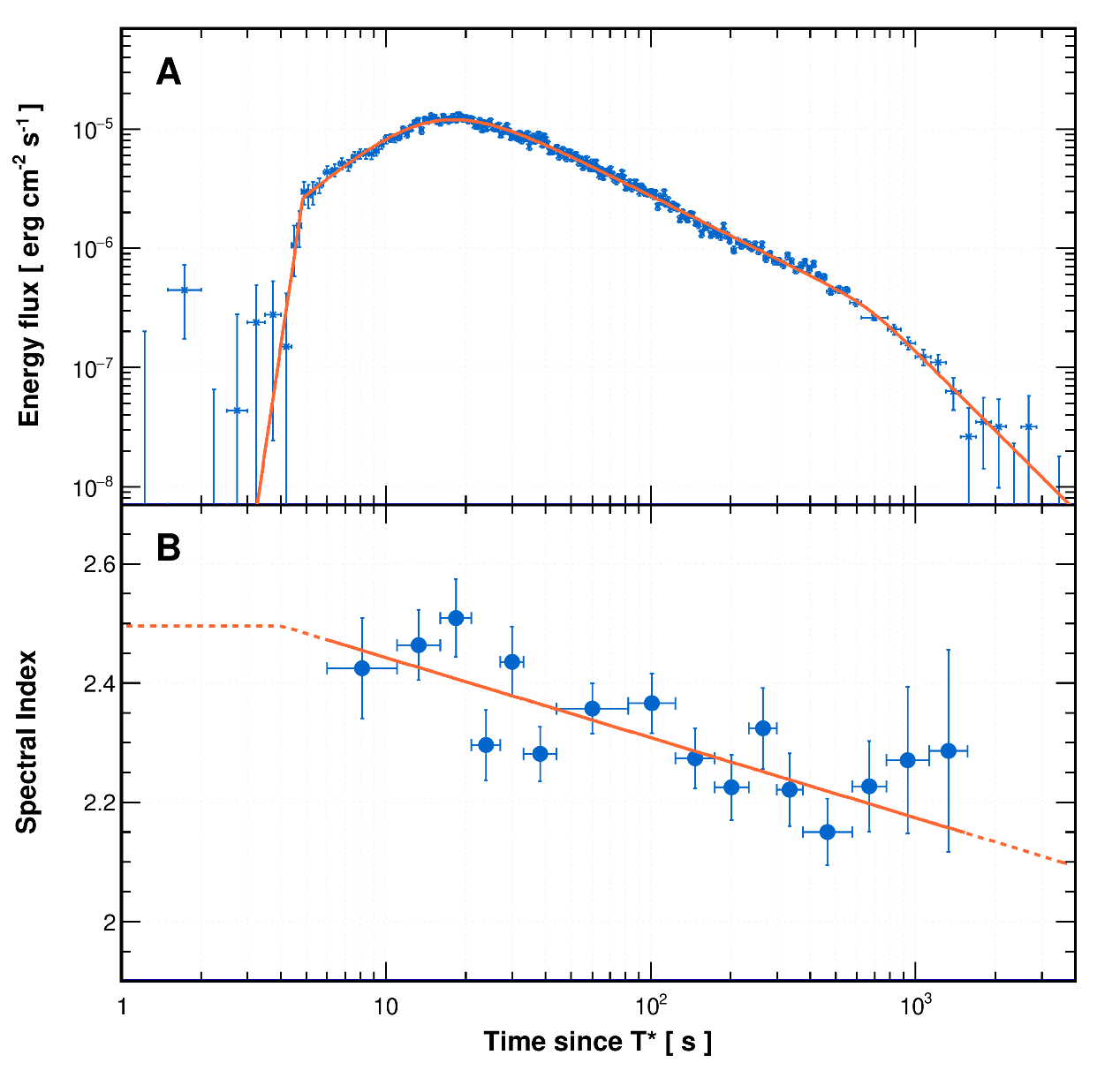
  “拉索”收集到的信号细节表明,探测到的光子来源于主爆之后的后随爆炸。伽马射线暴事件的“主爆”,也称为瞬时辐射,是初始阶段的巨大的爆炸,表现为强烈的低能的伽马射线辐射。接近于光速的爆炸物与周围环境气体碰撞则产生“后随爆炸”,也称为余辉。“‘拉索’首次精确地观测了‘后随爆炸’的完整过程,记录了万亿电子伏特伽马射线流量增强和衰减的整个阶段。” LHAASO项目首席科学家、LHAASO国际合作组发言人、快盈v3研究员曹臻说。

  凭借对上万个伽马射线暴的观测,科学家们已经建立了似乎完美的理论模型,甚至于对它深信不疑了。“拉索”实现了其它实验没有达到的高能量波段光变过程的教科书式的完整观测,对理论模型的精确检验提供了实验基础。鉴于此次爆发千年不遇的稀缺性,这个观测结果预期将在今后几十甚至上百年内将保持最佳。

 

  高海拔宇宙线观测站(LHAASO,“拉索”)(快盈v3供图)

  “拉索”首次测量到高能光子流量的快速增强过程

  “在后随爆炸过程中,‘拉索’首次探测到光子流量的极速增强。” 论文通讯作者之一、快盈v3研究员姚志国说。不到两秒的时间内流量增强了100多倍,之后的缓慢增长行为却符合后随爆炸的预期特征。早期如此快速的增强现象超出了以往理论模型的预期。究竟存在着什么样的机制?此次发表的观测结果将会引发科学界对伽马射线暴能量注入、光子吸收、粒子加速等机制的深入探讨。

 

  高海拔宇宙线观测站(LHAASO,“拉索”)(快盈v3供图)

  “拉索”发现了此伽马射线暴历史最亮的秘密

  “拉索”观测表明,高能辐射在起爆之后不到10分钟的某个时刻,亮度突然快速减弱了。“这可解释为爆炸后的抛射物是喷流状的结构,当辐射张角扩展到了喷流的边缘时造成亮度快速下降。” 论文通讯作者之一,南京大学教授王祥玉说。由于这个亮度转折发生时间极早,由此测出了喷流的张角也极小,仅0.8度。这是迄今知道的最小张角的喷流,意味着观测到的实际上是一个典型内亮外暗喷流的最明亮的核心。“正是由于观测者碰巧正对喷流最明亮的核心,自然地解释了为什么这个伽马射线暴是历史上最亮的,也解释了为什么这样的事件极其罕见。” 论文通讯作者之一,中国科学技术大学教授戴子高表示。

 

  高海拔宇宙线观测站(LHAASO,“拉索”)(快盈v3供图)

  “拉索”在最高能段的高统计量观测,将会揭示更多的谜团

  在这个事件持续的十分钟内,“拉索”记录到的光子数超过了过去几年对“标准烛光”蟹状星云观测积累。“若把选择条件降到最低,光子数可以达到10万!”论文通讯作者之一、快盈v3研究员查敏说。对比同能区其它实验装置,甚至是专门设计来追踪伽马暴的设备,它们测到的光子数目仅在千个以下的水平,且都只测到了爆炸过后60秒以晚的“余辉”。“截至当下,本场爆炸事件还有其它的许多新发现,科学家们还在不懈地深耕‘拉索’的数据,力图揭示更多的奥秘,敬请等待‘拉索’的后续数据分析成果。” 曹臻对LHAASO下一阶段成果给出了乐观的预期。

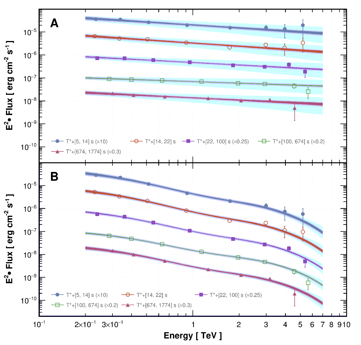
  “拉索”测量得到的伽马射线暴221009A在5个时间段的本征谱与观测谱,能量范围约在2千亿到7万亿电子伏特之间。

  

  “拉索”观测到的3千亿到5万亿电子伏特能量范围的GRB221009A余辉辐射的光变过程与能谱指数演化,以及函数拟合。“拉索”首次实现了伽马射线暴千亿电子伏特以上余辉辐射过程的完整观测,发现了余辉辐射过程的快速增长现象,发现了伽马射线暴GRB221009A余辉辐射过程的快速衰减现象。

引自中国网2023.6.9版 原地址:http://ydyl.china.com.cn/2023-06/09/content_86778336.shtml


附件下载:

地址:北京市918信箱 邮编:100049 电话:86-10-88235008 Email:ihep@ihep.ac.cn
快盈v3 备案序号:京ICP备05002790号-1 文保网安备案号: 110402500050