title menu
首页 实验概况 组织管理 科学背景 科学意义 合作交流 科学成果 科普宣传 传媒扫描 大事记 工程图册
传媒扫描
【文汇报】20亿年前“宇宙烟花”光子飞临地球,“拉索”完整记录“万年一遇”伽马暴全过程
日期:2023-06-09来源:
打印字号

    大约20亿年前,一颗比太阳重20多倍的“超级太阳”在死亡瞬间坍缩,引发巨大的爆炸火球,释放出一朵持续几百秒的巨大“宇宙烟花”——伽马射线暴。火球与星际物质碰撞产生的大量万亿电子伏特(TeV)高能伽马光子穿过茫茫宇宙,径直飞向地球。

  2022年10月9日21时20分50秒,这群光子抵达位于四川稻城海子山上的高海拔宇宙线观测站(LHAASO,简称“拉索”)的视场范围。“拉索”收集到了6万多个伽马光子。就在那一晚,我国极目空间望远镜和慧眼卫星与“拉索”一起同时探测到了这一“最亮伽马暴”(详见本报3月29日3版相关报道)。这也是我国首次实现对伽马射线暴的天地多手段联合观测。

  经过数月分析,科学家们终于揭开了这场“万年一遇”伽马暴事件的神秘面纱。

    5月9日凌晨,国际著名学术期刊《科学》发表了这一由“拉索”国际合作组完成的有关迄今最亮伽马射线暴GRB 221009A的研究成果。

 

  ▲GRB 221009A伽马暴事件被“拉索”完整记录到(艺术示意图)

  一战“封神” ,“拉索”创下多个“国际首次”

  今年5月初,国家重大科技基础设施“拉索”通过国家验收时,项目首席科学家、“拉索”国际合作组发言人、快盈v3研究员曹臻就预告“即将发表一项重要发现”,而它可能会改变人类目前对部分天体现象的理解。

  今天,顶着多个“国际首次”的光环,这项发现终于面世。

  ——这是人类首次精确测量高能光子爆发的完整过程。

  “拉索”收集到的信号细节表明,探测到的光子来源于“主爆”之后的“后随爆炸”。伽马射线暴事件的主爆,也称为瞬时辐射,是初始阶段的巨大爆炸,表现为强烈的低能伽马射线辐射。接近于光速的爆炸物与周围环境气体碰撞则产生后随爆炸,也称为余辉。

  “‘拉索’首次精确观测了后随爆炸的完整过程,记录了万亿电子伏特伽马射线流量增强和衰减的整个阶段。”曹臻说,在这次观测中,“拉索”是全球唯一没有被“亮瞎”且记录下完整过程的设备。

  

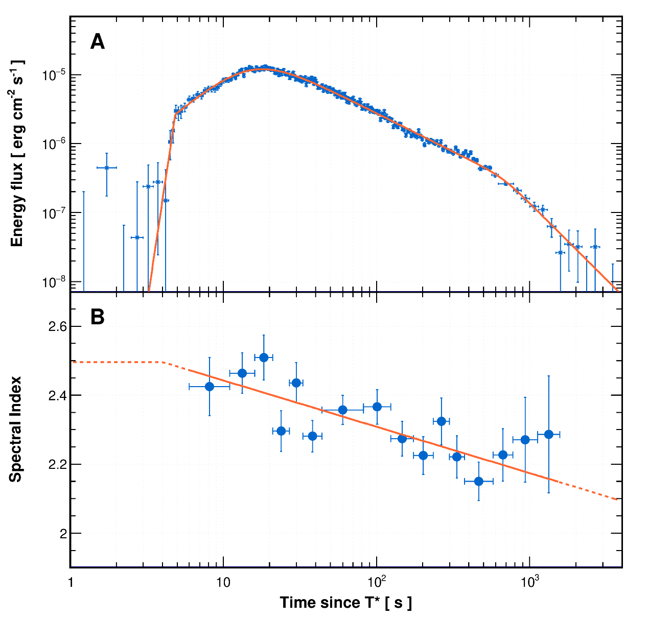
  ▲“拉索”观测到的3千亿到5万亿电子伏特能量范围的GRB221009A余辉辐射的光变过程与能谱指数演化,以及函数拟合。“拉索”首次实现了伽马射线暴千亿电子伏特以上余辉辐射过程的完整观测,发现了余辉辐射过程的快速增长现象,发现了伽马射线暴GRB221009A余辉辐射过程的快速衰减现象。

  曾经,凭借对上万个伽马射线暴的观测,科学家已经建立了近乎完美、令人深信不疑的理论模型,而“拉索”这次“教科书式”的完整观测则对理论模型提出了新的挑战。鉴于此次事件的稀缺性,该结果将在今后上百年内保持“最佳纪录”。

  ——“拉索”在国际上首次测量到高能光子流量的快速增强过程。

  “在后随爆炸过程中,‘拉索’首次探测到光子流量的极速增强。”论文通讯作者之一、快盈v3研究员姚志国说,“在不到两秒的时间内,光子流量增强了100多倍”。

  早期如此快速的增强现象超出了以往理论模型的预期,而之后的缓慢增长行为却符合后随爆炸的预期特征。这其中究竟存在着什么样的机制?这将引发科学界对伽马射线暴能量注入、光子吸收、粒子加速等机制的深入探讨。

  ——“拉索”率先发现了此次伽马射线暴历史最亮的秘密。

  “拉索”观测表明,高能辐射在起爆之后不到10分钟的某个时刻,亮度突然快速减弱了。“这可解释为爆炸后的抛射物呈喷流状结构,当辐射张角扩展到了喷流的边缘时造成亮度快速下降。”论文通讯作者之一,南京大学教授王祥玉说,由于这个亮度转折发生时间极早,由此测出了喷流的张角也极小,仅0.8度——这是迄今已知的最小张角喷流,意味着观测到的实际上是一个内亮外暗喷流的最明亮核心。

 

  ▲“拉索”率先发现了此次伽马射线暴历史最亮的秘密(艺术示意图)

  万年一次,幸运得益于“拉索”的灵敏和大视野

  在这次伽马暴事件持续的10分钟内,“拉索”记录到的光子数超过了过去几年对“标准烛光”蟹状星云的观测积累。论文通讯作者之一、快盈v3研究员查敏说,若把选择条件降到最低,光子数可达10万个。对比同能区其它实验装置,甚至是用来专门追踪伽马暴的设备,它们测到的光子数仅在千个以下水平,且都只测到了爆炸过后60秒以外的“余辉”。

 

  ▲“拉索”航拍图

  美国艺术与科学院院士、宾州州立大学讲座教授、伽马射线暴火球模型奠基人彼得·梅斯扎罗斯认为,首次探测到TeV能区的早期余辉光变曲线得益于“拉索”巨大的观测面积和先进的探测器技术。

  北京师范大学天文系高鹤教授则表示,人们期望利用伽马暴研究宇宙的演化历史、重元素的起源以及相对论的正确性等重大问题,在此之前必须深刻了解伽马暴自身的物理起源。他说:“如此亮的伽马暴扫过地球的概率是万年一次,而这一次人类极其幸运,因为它恰好落在了‘拉索’的最佳观测范围内。‘拉索’不负众望,首次在TeV能量处给出了伽马暴完整的光变曲线与能谱,这一观测结果大大增进了人类对伽马暴辐射机制以及喷流结构等方面的理解。”

  《科学》审稿专家们认为,这是一项非凡的实验结果,值得迅速发表——它为理解伽马射线暴提供了一个全新视角,有可能成为该领域引用最多的论文之一。

  曹臻透露,科学家们还在不懈深耕“拉索”收集到的数据,努力揭示其中的更多奥秘。

引自文汇报2023.6.9版 原地址:http://wenhui.whb.cn/zhuzhanapp/kjwz/20230609/525115.html?timestamp=1686268707765

传媒扫描
"; var footstr = ""; var newstr = document.all.item(printpage).innerHTML; var oldstr = document.body.innerHTML; document.body.innerHTML = headstr+newstr+footstr; window.print(); document.body.innerHTML = oldstr; return false; }; var oAPrint=document.getElementById('print'); oAPrint.onclick=function(){ printdiv('printCon'); }; //调整字号 $("span").click(function(){ var oDivConJq=$('#para'); var cName = $(this).attr("class"); var sFontsize=oDivConJq.css('font-size'); var fFontsize=parseFloat(sFontsize); var sUnit=sFontsize.slice(-2); if((cName == "fs-18 bigger detail-main-row2-a") && (fFontsize<24)){ fFontsize+=2; } else if((cName == "smaller detail-main-row2-a") && (fFontsize>12)){ fFontsize-=2; } oDivConJq.css('font-size', fFontsize+sUnit).find('p,div,span,font').css('font-size', fFontsize+sUnit); }); //来源 var docsourcename = ""; if(docsourcename == ""){ $("#source").hide(); } //附件 var appLinkArr = new Array(); //附件路径 var appLinkStr = ''; appLinkArr = appLinkStr.split('|'); var appDescArr = new Array(); //附件名称 var appDescStr = ''; appDescArr = appDescStr.split('|'); if(appLinkArr[0] != '' && appDescArr[0] != ''){ var appHtml = ""; $.each(appLinkArr, function(i, str) { if(str.indexOf('doc') != -1){ appHtml += '
  • ' + appDescArr[i] + '
  • '; } if(str.indexOf('xls') != -1){ appHtml += '
  • ' + appDescArr[i] + '
  • '; } if(str.indexOf('ppt') != -1){ appHtml += '
  • ' + appDescArr[i] + '
  • '; } if(str.indexOf('pdf') != -1){ appHtml += '
  • ' + appDescArr[i] + '
  • '; } if(str.indexOf('txt') != -1){ appHtml += '
  • ' + appDescArr[i] + '
  • '; } if(str.indexOf('rar') != -1 || str.indexOf('zip') != -1){ appHtml += '
  • ' + appDescArr[i] + '
  • '; } if(str.indexOf('mp4') != -1){ appHtml += '
  • ' + appDescArr[i] + '
  • '; } }); $(".wrap-appendix ul").html(appHtml); } else{ $(".wrap-appendix").hide(); } });