title menu
首页 实验概况 组织管理 科学背景 科学意义 合作交流 科学成果 科普宣传 传媒扫描 大事记 工程图册
传媒扫描
【四川科技报】“拉索”再次公布重大观测成果
日期:2023-06-09来源:
打印字号

    

  约20亿年前,一颗比太阳重20多倍的“超级太阳”大质量恒星燃烧完其核聚变燃料,瞬间坍缩引发巨大的爆炸火球,发出了一个持续几百秒的巨大“宇宙烟花”伽马射线暴(以下简称“伽马暴”)。火球与星际物质碰撞产生的大量万亿电子伏特高能伽马光子穿过茫茫宇宙,径直飞向地球,于2022年10月9日21时20分50秒抵达“拉索”的视场范围,6万多个伽马光子被位于四川稻城海子山的高海拔宇宙线观测站(LHAASO,中文简称“拉索”)收集到。经过几个月的分析,科学家们终于揭开了这场爆炸事件的面纱。 

  今日,“拉索”对这一命名为GRB 221009A的伽马射线暴(Gamma Ray Burst,GRB)的最新观测研究成果在线发表于《科学》(Science)杂志,题为“极亮伽马射线暴221009A窄喷流的万亿电子伏特余辉”(A tera-electronvolt afterglow from a narrow jet in an extremely bright gamma-ray burst 221009A)。该论文由LHAASO国际合作组完成。国际发布伽马暴GRB 221009A预警后,LHAASO项目首席科学家、LHAASO国际合作组发言人、快盈v3研究员曹臻迅速组织多个团队开展了数据分析与理论解释工作,包括本篇论文主要作者组成的团队。本篇论文的数据分析结果由快盈v3给出,理论解释由南京大学、中国科学技术大学等提供,通讯作者为王祥玉、姚志国、戴子高、查敏、黄勇、郑见合。 

  首次精确测量高能光子爆发的完整过程 

  据介绍,“拉索”收集到的信号细节表明,探测到的光子来源于主爆之后的后随爆炸。伽马暴事件的“主爆”,也称为瞬时辐射,是初始阶段的巨大爆炸,表现为强烈的低能伽马射线辐射。接近于光速的爆炸物与周围环境气体碰撞则产生“后随爆炸”,也称为余辉。“‘拉索’首次精确地观测了‘后随爆炸’的完整过程,记录了万亿电子伏特伽马射线流量增强和衰减的整个阶段。”曹臻说。 

  凭借对上万个伽马暴的观测,科学家们已经建立了似乎完美的理论模型。“拉索”实现了其它实验没有达到的高能量波段光变过程的教科书式的完整观测,为理论模型的精确检验提供了实验基础。鉴于此次爆发千年不遇的稀缺性,这个观测结果预期将在今后几十甚至上百年内保持最佳。 

  “在后随爆炸过程中,‘拉索’首次探测到光子流量的极速增强。” 论文通讯作者之一、快盈v3研究员姚志国说。不到两秒的时间内流量增强了100多倍,之后的缓慢增长行为却符合“后随爆炸”的预期特征。早期如此快速的增强现象超出了以往理论模型的预期。究竟存在着什么样的机制?此次发表的观测结果将会引发科学界对伽马暴能量注入、光子吸收、粒子加速等机制的深入探讨。 

  审稿专家评价:LHAASO合作组在TeV(万亿电子伏特)能区对伽马暴最早余辉进行了非常重要的、突破性的观测。这是一项非凡的实验结果,值得迅速发表,并非常适合在此期刊上发表——它有可能成为该领域中引用最多的论文之一。通过这个“千年一遇”的事件为伽马暴提供了一个全新的视角。 

  发现此伽马暴历史最亮的秘密 

  据介绍,2022年10月9日北京时间21时16分59.59秒,费米卫星(Fermi spacecraft)首先探测到一个异常明亮的伽马暴,根据国际惯例命名为GRB 221009A,后续几十个空间和地面探测器都对此暴发进行了观测。这个伽马暴为长暴,其亮度比以往最亮伽马暴还要高几十倍以上,过高的光子流量使得多个国际实验的探测器发生了饱和。我国高海拔宇宙线观测站(LHAASO)、高能爆发探索者(HEBS)卫星和慧眼(Insight-HXMT)卫星同时探测到了这个伽马暴,实现了跨越11个量级的宽能量范围天地协同观测。 

   “拉索”观测表明,高能辐射在起爆之后不到10分钟的某个时刻,亮度突然快速减弱了。“这可解释为爆炸后的抛射物是喷流状的结构,当辐射张角扩展到了喷流的边缘时造成亮度快速下降。” 论文通讯作者之一、南京大学教授王祥玉说。由于这个亮度转折发生时间极早,由此测出了喷流的张角也极小,仅0.8度。这是迄今知道的最小张角的喷流,意味着观测到的实际上是一个典型内亮外暗喷流最明亮的核心。“正是由于观测者碰巧正对喷流最明亮的核心,自然地解释了为什么这个伽马暴是历史上最亮的,也解释了为什么这样的事件极其罕见。” 论文通讯作者之一、中国科学技术大学教授戴子高表示。 

  增进人类对伽马暴辐射机制的理解,引发全球关注 

  迄今为止已有上万个伽马暴被人类捕获,而每一次对伽马暴认知的突破几乎都得益于一些特殊事例的观测。2022年10月9日,一个有记录以来最亮的伽马暴被探测到,科学家推断如此亮的伽马暴扫过地球的概率是万年一次。而这一次人类是极其幸运的,因为GRB 221009A恰好落在了“拉索”的最佳观测视场内。“拉索”不负众望,首次在TeV能量处给出了伽马暴完整的光变曲线与能谱,这一观测结果大大增进了人类对伽马暴辐射机制以及喷流结构等方面的理解。” 

  “拉索”的这一发现在全球天体物理学界引发了极大的关注,美国宾州州立大学讲座教授、美国艺术与科学院院士、伽马暴火球模型奠基人Peter Meszaros评价:“这一发现,得益于‘拉索’巨大的观测面积和先进的探测器技术,这是首次探测到TeV能区的早期余辉光变曲线,它们由外激波的同步辐射-自康普顿成分形成。此外,光变曲线显示出了减速特征,给出了值约为440的平均洛伦兹因子的测量结果。它还观测到了光变曲线的截断现象,由此可以计算出喷流张角约为0.8度,使得喷流总能量减少至约1051erg(尔格),与其他伽马暴一致。” 

  北京师范大学天文系高鹤教授评价:“伽马暴是宇宙中最剧烈的爆发现象,其几秒钟辐射的能量相当于太阳100亿年辐射能量的总和。经过半个世纪的研究,人们认识到伽马暴产生于特别极端的物理环境,比如极高的磁场、极强的引力,极快的速度等等,伽马暴由此成为天体物理甚至基础物理领域青睐的极端物理实验室。人们期望利用伽马暴研究宇宙的演化历史、重元素的起源以及相对论的正确性等重大问题,而在这之前必须对伽马暴自身的物理起源具备深刻的了解。” 

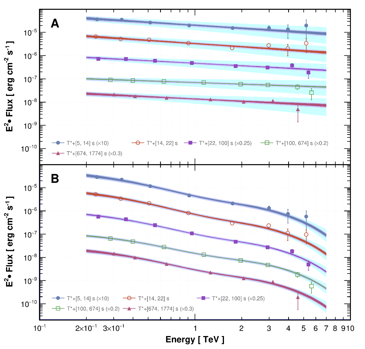
  “拉索”测量得到的伽马射线暴GRB 221009A在5个时间段的本征谱与观测谱,能量范围约在2千亿到7万亿电子伏特之间。 

   

  “拉索”以超过250倍标准偏差的高显著水平观测到了伽马射线暴GRB 221009A的爆发。 

  将揭示更多谜团 

  在这个事件持续的十分钟内,“拉索”记录到的光子数超过了过去几年对“标准烛光”蟹状星云观测积累。“若把选择条件降到最低,光子数可以达到10万!”论文通讯作者之一、快盈v3研究员查敏说。对比同能区其它实验装置,甚至是专门设计来追踪伽马暴的设备,它们测到的光子数目仅在千个以下的水平,且都只测到了爆炸过后60秒以晚的“余辉”。“截至目前,本场爆炸事件还有其它的许多新发现,科学家们还在不懈地深耕‘拉索’的数据,力图揭示更多的奥秘,敬请等待‘拉索’的后续数据分析成果。” 曹臻对“拉索”下一阶段成果给出了乐观的预期。 

  记者了解到,本次观测成果主要由“拉索”的水切伦科夫探测器阵列提供。该探测器利用36万吨的纯净水作为介质,通过水底放置的6240支不同尺寸的光敏探头,测量伽马射线或宇宙线在大气层中运动与作用过程的次级产物,如低能伽马光子、正负电子等,它们会在水中产生切伦科夫光信号。该阵列对伽马射线的观测能量范围跨域两个量级,在千亿电子伏特到十万亿电子伏特之间,且具有宽视场、全天候的特点,对伽马暴这样的突发天体现象的捕捉式观测具有突出的优势。 

  高海拔宇宙线观测站的构成与布局

 

  水切伦科夫探测器阵列示意图

引自四川科技报2023.6.9版 原地址:http://kjb.sckjw.com.cn/m/43c4be901f894a8c87f059e59440e4bb

传媒扫描
"; var footstr = ""; var newstr = document.all.item(printpage).innerHTML; var oldstr = document.body.innerHTML; document.body.innerHTML = headstr+newstr+footstr; window.print(); document.body.innerHTML = oldstr; return false; }; var oAPrint=document.getElementById('print'); oAPrint.onclick=function(){ printdiv('printCon'); }; //调整字号 $("span").click(function(){ var oDivConJq=$('#para'); var cName = $(this).attr("class"); var sFontsize=oDivConJq.css('font-size'); var fFontsize=parseFloat(sFontsize); var sUnit=sFontsize.slice(-2); if((cName == "fs-18 bigger detail-main-row2-a") && (fFontsize<24)){ fFontsize+=2; } else if((cName == "smaller detail-main-row2-a") && (fFontsize>12)){ fFontsize-=2; } oDivConJq.css('font-size', fFontsize+sUnit).find('p,div,span,font').css('font-size', fFontsize+sUnit); }); //来源 var docsourcename = ""; if(docsourcename == ""){ $("#source").hide(); } //附件 var appLinkArr = new Array(); //附件路径 var appLinkStr = ''; appLinkArr = appLinkStr.split('|'); var appDescArr = new Array(); //附件名称 var appDescStr = ''; appDescArr = appDescStr.split('|'); if(appLinkArr[0] != '' && appDescArr[0] != ''){ var appHtml = ""; $.each(appLinkArr, function(i, str) { if(str.indexOf('doc') != -1){ appHtml += '
  • ' + appDescArr[i] + '
  • '; } if(str.indexOf('xls') != -1){ appHtml += '
  • ' + appDescArr[i] + '
  • '; } if(str.indexOf('ppt') != -1){ appHtml += '
  • ' + appDescArr[i] + '
  • '; } if(str.indexOf('pdf') != -1){ appHtml += '
  • ' + appDescArr[i] + '
  • '; } if(str.indexOf('txt') != -1){ appHtml += '
  • ' + appDescArr[i] + '
  • '; } if(str.indexOf('rar') != -1 || str.indexOf('zip') != -1){ appHtml += '
  • ' + appDescArr[i] + '
  • '; } if(str.indexOf('mp4') != -1){ appHtml += '
  • ' + appDescArr[i] + '
  • '; } }); $(".wrap-appendix ul").html(appHtml); } else{ $(".wrap-appendix").hide(); } });