约20亿年前,一颗大质量恒星发生了爆炸。爆炸物与周围环境碰撞所产生的大量万亿电子伏特高能伽马光子,穿过茫茫宇宙,在去年10月9日,抵达位于四川省稻城县的高海拔宇宙线观测站(LHAASO),也就是“拉索”的视场范围。对这场“史上最亮”伽马射线暴观测结果的最新研究成果于今天(6月9日)在线发表在《科学》(Science)杂志上。

“拉索”以超过250倍标准偏差的高显著水平观测到了伽马射线暴GRB 221009A的爆发。
伽马射线暴是宇宙大爆炸之后最剧烈的天体爆炸现象,短至千分之一秒,长则数小时。长时间的伽马射线暴是巨大恒星在燃料耗尽时坍缩爆炸产生。
约20亿年前,一颗比太阳重20多倍的大质量恒星燃烧完其核聚变燃料,瞬间坍缩引发巨大的爆炸。接近于光速的爆炸物与周围环境气体碰撞,产生了“后随爆炸”。“拉索”探测到的万亿电子伏特高能光子,便是“后随爆炸”的产物。
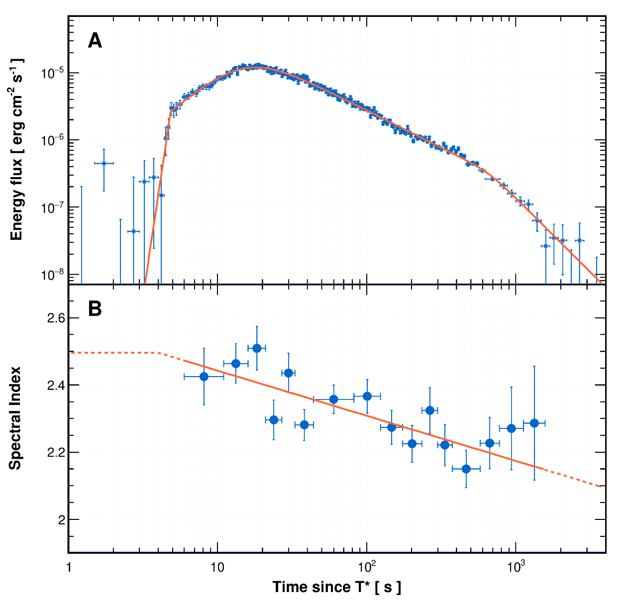
“拉索”首次精确地观测了高能光子暴发的完整过程,记录了万亿电子伏特伽马射线流量增强和衰减,或者说上升和下降的整个过程,以往的观测从未能记录下流量增强的阶段。论文通讯作者之一、南京大学教授王祥玉介绍说:
王祥玉:“以前的探测器都需要花时间转到伽马射线暴的方向去,至少要几十秒,看到的都是下降阶段。而“拉索”有独特优势,它是大视场、全天候工作的,伽马射线暴正好落在它的视野范围内,正好捕捉到(伽马射线暴)上升阶段,就是开始阶段。这是以前所有探测器从来没有观测到的。”
“拉索”观测显示,在高能光子流量增强阶段,光子流量先是极速增强,不到2秒的时间内增强了100多倍,之后则变为缓慢增长。王祥玉说,后者符合理论预期,但前者则无法用现有模型解释,给科学家们出了“新难题”。
王祥玉:“上升有两个阶段,一个是极快上升的阶段,一个是慢上升阶段,这个极快上升阶段是在以往所有伽马射线暴中从未观测到,如何产生如此快的上升对(现有)模型是个挑战。”

“拉索”观测到的3千亿到5万亿电子伏特能量范围的GRB221009A余辉辐射的光变过程与能谱指数演化,以及函数拟合。“拉索”首次实现了伽马射线暴千亿电子伏特以上余辉辐射过程的完整观测,发现了余辉辐射过程的快速增长现象,发现了伽马射线暴GRB221009A余辉辐射过程的快速衰减现象。
迄今,已有上万个伽马射线暴被人类捕获,此次观测到的伽马射线暴则是有记录以来最亮的,其亮度比以往最亮的伽马射线暴还要高几十倍以上。分析“拉索”观测结果,研究团队认为,爆炸后的抛射物以前宽后窄的锥状结构喷流而出,而根据观测结果,科学家们计算出这一喷流张角仅为0.8度,是迄今知道的最小张角的喷流,这也意味着此次观测到了伽马射线暴最为明亮的核心。王祥玉说:
王祥玉:“我们刚好看到了这个伽马射线暴最亮的核心,所以它的亮度特别高。这也解释了这个事件为何如此罕见,因为是对着(伽马暴)中心看过去。”
科学家推断,如此亮的伽马暴扫过地球的概率是万年一次。而伽马暴核心方向正对观测器,更是罕见。“拉索”项目首席科学家、“拉索”国际合作组发言人、快盈v3研究员曹臻表示,在这个事件持续的十分钟内,“拉索”记录到的光子数超过了过去几年对“标准烛光”蟹状星云观测积累。
曹臻:“现在我们已经记录到6万多个光子,这是一个惊人的数字。跟其他的探测器相比的话,(其他)能够抓到的不会超过1000个。”
曹臻表示,截至当下,本场爆炸事件还有其它的许多新发现,科学家们还在不懈地深耕“拉索”的数据,力图揭示更多的奥秘
“拉索”是以宇宙线观测研究为核心的国家重大科技基础设施,位于四川省稻城县海子山,平均海拔4410米,占地面积约1.36平方公里。
引自环球资讯网2023.6.9版 原地址:https://content-static.cctvnews.cctv.com/snow-book/index.html?toc_style_id=feeds_default&share_to=wechat&item_id=5443047267146537025&track_id=20386326-FA03-4924-95F8-1F41DE867729_707986610850