国家重大科技基础设施“高海拔宇宙线观测站(LHAASO)”(简称“拉索”)正式发布了迄今最亮的伽马射线暴(简称“伽马暴”,编号GRB 221009A)的高能伽马辐射的精确能谱,该结果挑战了传统的伽马暴余辉的标准辐射模型,揭示出宇宙背景光在红外波段强度低于预期。同时,该能谱为检验爱因斯坦相对论的适用范围、探索暗物质候选粒子——轴子等新物理研究方面提供了重要信息。相关结果于北京时间11月16日在《科学进展》(Science Advances)上发表,由快盈v3牵头的拉索国际合作组完成。
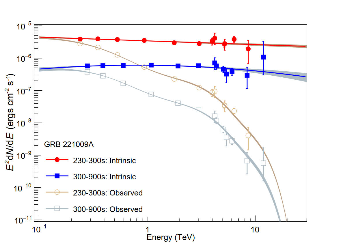
伽马暴是来自天空中某一方向的伽马射线突然增强的闪烁现象,是宇宙大爆炸之后最剧烈的天体爆炸现象,最早在1967年被发现,2019年以来人类发现了3例伽马暴辐射光子的最高能量达到1 TeV(1 TeV=1万亿电子伏特)。2022年10月9日拉索记录到来自伽马暴GRB 221009A高达10 TeV以上的伽马光子,在60年的伽马暴研究历史上具有里程碑意义。GRB 221009A是史上最亮伽马暴,产生于一颗比太阳重20多倍的大质量恒星在燃料耗尽时的塌缩爆炸,此前拉索精细测量了其TeV辐射随时间完整的变化行为,确定了其辐射起源于余辉辐射,并揭示了记录到此伽马暴历史最亮的成因,相关成果于2023年6月在《科学》(Science)上发表。在伽马暴标准模型中,余辉辐射起源于以接近光速飞行的爆炸物与周围环境气体物质的碰撞,碰撞产生的高速激波会把电子加速到非常高的能量,这些电子进一步撞击周围的光子成为高能伽马辐射。理论上这种辐射的光子能量越高,其辐射强度就衰减得越快,但本次拉索对其辐射能谱的精确测量却发现伽马暴辐射一直延伸到13 TeV,如附图所示。该能谱对伽马暴余辉标准模型提出了挑战,预示着伽马暴余辉的10TeV左右光子可能产生于更复杂的粒子加速过程或者存在新的辐射机制。
高能伽马光子在飞行时会被宇宙中弥漫的背景光吸收,伽马光子能量越高被吸收得越强烈,这就是拉索能够探测到来自银河系内天体的PeV(1 PeV=1000TeV)伽马光子,却很难探测到来自遥远伽马暴10TeV光子的原因。反过来,根据伽马射线被吸收的程度,也可以研究宇宙背景光的强度与性质。宇宙背景光是宇宙中不同距离处所有的星系辐射产物的总和,与宇宙演化密切相关。GRB 221009A的极高亮度使我们有机会探测到来自24亿光年外宇宙深处所产生的高能伽马光子。按照目前的宇宙演化模型,1 TeV伽马光子飞行24亿光年被背景光吸收的概率约为80%,而10 TeV伽马光子被吸收的概率则超过99.5%。本次基于拉索测量的精确能谱,推算出宇宙背景光对高能伽马光的吸收低于预期,红外波段宇宙背景光强度仅为现有宇宙学模型预期的40%左右。这一结果将促使人们重新考虑宇宙中星系的形成和演化过程。

图1:拉索测量的GRB221009A在230-300秒和300-900秒两段时间的伽马射线能谱,空心点为地球上测量到的伽马射线流强,实心点为24亿光年外伽马暴发出的伽马射线流强。
另一方面,如果标准的宇宙演化模型正确,宇宙背景光对高能伽马光子的吸收低于理论预期也可能意味着存在某种超出当前粒子物理标准模型的新物理机制。比如,作为爱因斯坦狭义相对论基础的洛伦兹对称性如果有非常微小的破坏,这种效应在伽马光子24亿光年的长距离飞行中就会被放大为可观测现象,从而能够解释拉索观测到的高能伽马能谱。另一方面,轴子是标准模型之外的一种新粒子,也是当前被广泛讨论的暗物质候选粒子之一,轴子的存在也可以解释拉索观测到的高能伽马光子弱吸收现象。如今拉索发布了最亮伽马暴的精确伽马光子能谱,开启了新物理探索之门,预期将会引发更多相关物理研究。
拉索是国家重大科技基础设施,位于四川省稻城县海拔4410米的海子山,是由5216个电磁粒子探测器和1188个缪子探测器组成的一平方公里地面簇射粒子探测器阵列、7.8万平方米水切伦科夫探测器阵列以及由18台广角切伦科夫望远镜组成的复合阵列。拉索于2021年7月建成并开始高质量稳定运行,是国际上最灵敏的超高能伽马射线探测装置,具有大视场和全天候的特点,每天可以监视2/3的天区范围,这次发现充分体现了拉索国际领先的灵敏度和独特优势。