最近,中科院高能物理研究所理论物理室研究员陈莹和合作者应用格点量子色动力学(Lattice QCD)理论,在胶球性质研究方面取得重要进展,其成果发表在国际权威期刊《物理评论快报》(Phys. Rev. Lett. 110, 021601 (2013)和Phys. Rev. Lett. 111,091601 (2013))上。
量子色动力学(QCD)理论认为,强相互作用的媒介粒子—胶子—可以通过自相互作用形成束缚态,即胶球。胶球是区别于夸克模型描述的介子和重子态的新型强子态,其存在与否对理解强相互作用有重要意义,因此寻找胶球态一直是高能物理实验的重要研究课题之一。J/Ψ的辐射衰变被普遍认为是寻找胶球的理想场所,北京正负电子对撞机和北京谱仪(BEPCII/BESIII)正在积累世界上最大的J/Ψ事例样本,为寻找胶球提供了很好的机遇,但相关的实验分析工作要求粒子物理理论研究提供关于胶球性质的更多信息。
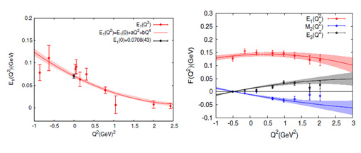
陈莹带领他的课题组,和中国格点合作组(CLQCD Collaboration) 的成员(中科院理论物理研究所马建平研究员、北京大学刘川教授、南开大学刘玉斌教授和浙江大学张剑波教授等)密切合作,利用格点量子色动力学的数值模拟方法,在国际上首次对标量和张量胶球在J/Ψ辐射衰变中的产率进行了直接计算,得到J/Ψ辐射衰变到标量胶球和张量胶球的分支比分别为3.8(9)x10-3和1.1(2)x10-2,这是迄今为止唯一的关于胶球辐射产率的量子色动力学理论预言。对比标量介子f0(1370)、f0(1500)和f0(1710)现有实验数据,该结果支持f0(1710)作为标量胶球的候选者。同时,根据J/Ψ辐射衰变到张量胶球有约1%的分支比的理论结果,他们建议BESIII对J/Ψ辐射衰变中的张量末态进行细致和系统的分析,对张量胶球的存在性给出确定的结论。
该项研究受到国家自然科学基金委面上项目(No.11075167,11021092,10675101,10947007,10975076)和重点项目(No.10835002)的支持。

说明:以上两图给出格点QCD直接计算出的J/Ψ辐射衰变到标量胶球(左图)和张量胶球(右图)的多极形状因子随Q2的变化,利用内插得到Q2=0的值可以直接得到相应的分宽度和分支比。
附件下载:
