2014年高能新闻
您当前的位置:首页 > 新闻动态 > 高能新闻 > 要闻 > 2014年高能新闻
ADS主直线加速器轮辐型超导铌腔研制获得重要进展
文章来源:加速器中心  2014-01-09
】 【】 【

  由快盈v3ADS(加速器驱动的次临界反应堆系统)项目组负责研制的轮辐型Beta=0.21谐振超导铌腔Spoke021于2014年1月6日进行了4K垂直测试,性能指标达到了国际Spoke超导腔的先进水平。该超导腔用于ADS强流质子超导主直线段加速器,它的成功研制是ADS两个注入器超导腔研制取得成功之后,取得的又一项突出进展。

  Spoke超导铌腔是中科院先导专项ADS质子直线加速器需要攻克的关键技术之一。Spoke021铌腔的垂直测试结果验证了腔的物理和机械设计、制造加工和焊接工艺路线、表面处理和垂直测试系统已经达到了预期设计目标,为ADS下一步主直线超导加速器的建造做了重要的技术储备。

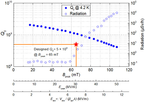
  Spoke021铌腔的研制从2011年初ADS项目的启动而开始,期间完成了Spoke021铌腔的调研和物理设计,完成了模具设计和加工,模型腔制造和铌腔部件的加工,2013年7月在中航工业集团航空材料研究院完成了两个样腔的电子束焊接。10月1号进行了第一次垂直测试,达到了样腔的测试指标。2014年1月6号进行了垂直测试,性能达到了正式腔的设计指标:在Q0=5e8时,表面峰值磁场Bpeak=98/mT;最大表面峰值磁场Bpeak=107/mT,最大表面电场Epeak=50 MV/m时Q0=4.0e8,超过了设计指标在Q0=5e8时,表面峰值磁场Bpeak=65/mT的要求,主要参数Bpeak和Q0值与美国Fermilab的超导腔相当。

  Spoke021铌腔的的设计、制造和垂直测试得到了兰州近物所、北京大学重离子物理所、上海应物所、日本KEK、美国Fermilab实验室同行专家的支持与帮助。

   Spoke021铌腔垂测前装配

Spoke021铌腔垂直测试结果


附件下载:

地址:北京市918信箱 邮编:100049 电话:86-10-88235008 Email:ihep@ihep.ac.cn
快盈v3 备案序号:京ICP备05002790号-1 文保网安备案号: 110402500050