2022年高能新闻
您当前的位置:首页 > 新闻动态 > 高能新闻 > 要闻 > 2022年高能新闻
北京谱仪III实验发现正负电子湮灭到轴矢量粲偶素的直接产生
文章来源:实验物理中心  2022-09-20
】 【】 【

  北京谱仪(BES)III实验在正负电子湮灭中观测到了轴矢量粲偶素粒子χc1的直接产生,研究成果发表在《物理评论快报》[Phys. Rev. Lett. 129 (2022) 122001]上,这是世界上首次在正负电子湮灭中发现轴矢量粲偶素粒子的直接产生。

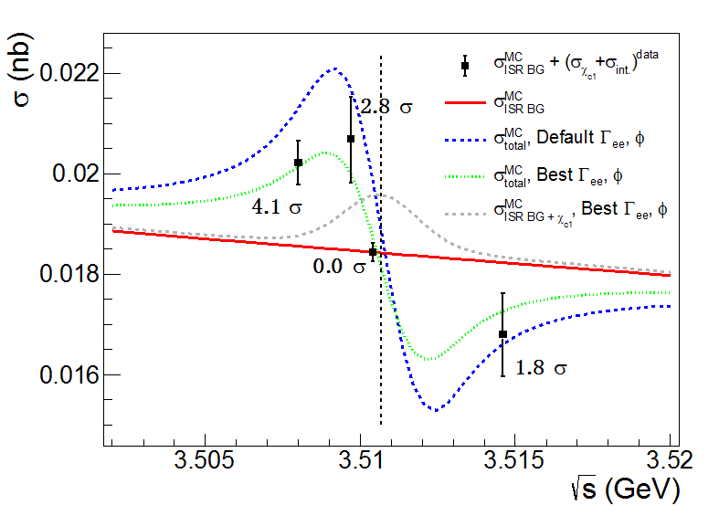
  正负电子对撞机在粒子物理发展中发挥了重要作用。在正负电子对撞实验中,正负电子通常湮灭产生一个跟虚光子具有相同量子数(JPC=1-,JPC分别表示粒子的自旋、宇称、电荷共轭宇称)的矢量粒子,如ρJ/ψ等。χc1(1P)是P波粲偶素粒子,是轴矢量粒子,量子数为JPC=1++e+e-χc1(1P)过程不能通过单光子湮灭但可以通过交换两个虚光子发生。由于双光子交换过程比单光子交换发生的几率要低几万倍,尽管早在40年前,这种过程就开始被理论家们讨论,但在实验上一直没有被观测到。BESIII实验团队通过采集并分析在cc1(1P)质量附近4个能量点的扫描数据对e+e-χc1(1P)过程进行了寻找,巧妙地利用了信号过程与本底过程之间的干涉效应(图1中蓝色和绿色虚线所示),在数据中发现了信号过程,统计显著度为5.1倍标准偏差(即信号由本底造成的可能性小于千万分之三),并首次确定χc1(1P)粒子的电子分宽度为 电子伏。

  BESIII实验的这个发现是历史上首次在正负电子湮灭过程中观测到轴矢量粒子的直接产生,为强子物理研究提供了新的思路。BESIII实验使用类似的能量扫描方法,可以直接测量其它非矢量粒子特别是奇特强子态的性质。这一工作主要由高能所实验物理中心苑长征研究员和复旦大学郭玉萍青年研究员指导博士生刘桐共同完成。

  文章链接: https://link.aps.org/doi/10.1103/PhysRevLett.129.122001

  Inspire链接:https://inspirehep.net/literature/2058476

图1:蓝色和绿色的虚线表示考虑信号过程e+e- χc1(1P)与本底过程干涉情况下的总截面,灰色虚线表示信号过程与本底过程没有干涉情况下的总截面,带误差棒的点代表数据测量结果。图中红线表示本底过程。左下角插图为信号过程的示意图。


附件下载:

地址:北京市918信箱 邮编:100049 电话:86-10-88235008 Email:ihep@ihep.ac.cn
快盈v3 备案序号:京ICP备05002790号-1 文保网安备案号: 110402500050