国家重大科技基础设施“高海拔宇宙线观测站(LHAASO)”(简称“拉索”)正式发布了W51复合区域高能伽马辐射的精确测量,认证其为超高能宇宙线加速天体,并获得其加速宇宙线最高能量极限证据。相关成果于2024年7月16日发表于《Science Bulletin》,该成果由快盈v3牵头的拉索国际合作组完成。高能所副研究员李哲、方堃、刘成,以及来自罗马第一大学的Silvia Celli为文章共同通讯作者。
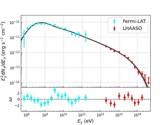
W51区域是银河系中最大、最活跃的“恒星工厂”之一,也是为数不多的被认证为存在GeV能量强子宇宙线加速的天区,在破解“宇宙线起源”世纪谜题中占有重要地位。研究人员利用LHAASO实验数据,首次将该区域的能谱测量拓展至超高能区,并清晰地观测到伽马射线能谱在几十TeV 处的“软化”结构,这对应于辐射粒子的加速极限。LHAASO测量能谱与Fermi-LAT卫星在低能区的测量完美衔接,跨越6个量级的精确能谱测量为其辐射起源于宇宙线与分子云的碰撞提供了重要证据,同时也表明W51复合区对宇宙线加速最高能量极限在400TeV左右。位于W51区域中的超新星遗迹SNR W51C是最可能的宇宙线加速源,本次测量为SNR能够加速宇宙线至>100TeV超高区首次提供了重要证据。
拉索是国家重大科技基础设施,位于四川省稻城县海拔4410米的海子山,是由5216个电磁粒子探测器和1188个缪子探测器组成的一平方公里地面簇射粒子探测器阵列、7.8万平方米水切伦科夫探测器阵列以及由18台广角切伦科夫望远镜组成的复合阵列。拉索于2021年7月建成并开始高质量稳定运行,是国际上最灵敏的超高能伽马射线探测装置,具有大视场和全天候的特点,这次观测充分体现了拉索国际领先的优势。该项研究得到了国家自然科学基金、四川省杰出青年基金和中国科学院青年团队计划等资助。
研究详情请见原文:
Evidence for particle acceleration approaching PeV energies in the W51 complex
https://doi.org/10.1016/j.scib.2024.07.017

图1:LHAASO给出W51区域在大于100TeV能区的显著性分布天图。

图2:W51区域的宽波段伽马射线能谱测量,以及强子相互作用模型对能谱数据的拟合结果。
附件下载:
