2025年高能新闻
您当前的位置:首页 > 新闻动态 > 高能新闻 > 要闻 > 2025年高能新闻
量子纠缠和量子非局域性检验取得新进展
文章来源:  2025-07-07
】 【】 【

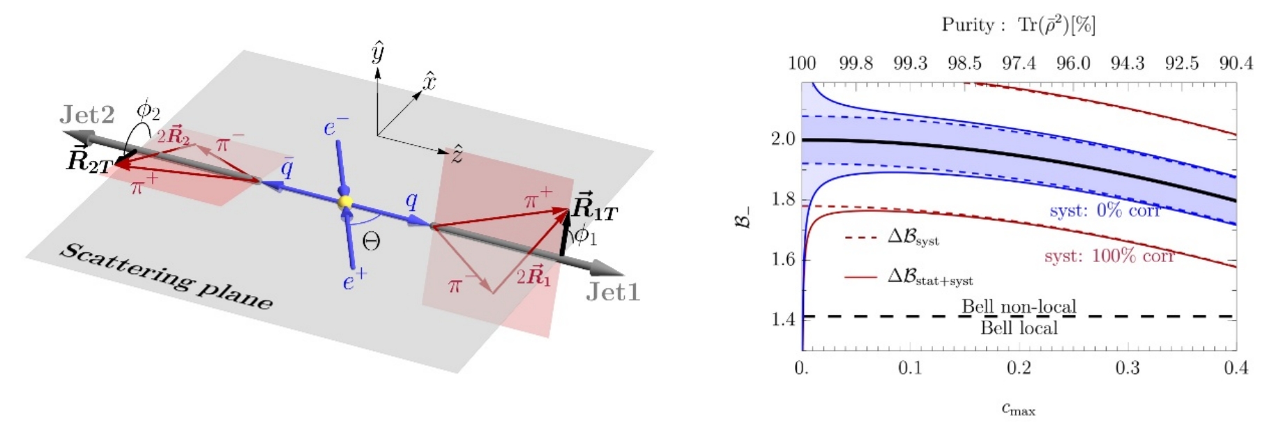
近日,快盈v3理论物理室岩斌副研究员团队在量子力学基础研究领域取得重要突破。他们创新性地利用轻子对撞机Belle实验数据,首次通过π+π-粒子对散射过程,揭示了轻味夸克之间可能存在的量子纠缠现象,并在6.2的高置信度水平上验证了量子非局域性,为深入理解量子力学基本原理在微观世界中的奥秘提供了新的研究手段。这项开创性工作发表在国际权威期刊《物理评论快报》(Phys. Rev. Lett. 135 (2025) 011902)。

量子非局域性是量子力学最神奇的特性之一,它表明两个纠缠粒子可以瞬间影响彼此,即使相隔遥远。这种"幽灵般的超距作用"曾让爱因斯坦深感困惑。虽然物理学家已在光子、原子等简单系统中证实了这一现象,但在高能物理领域,由于夸克被强相互作用牢牢束缚,无法直接观测,检验其量子特性一直是巨大的挑战。

岩斌课题组独辟蹊径,通过分析Belle实验数据中强子化产物的角度分布,成功捕捉到夸克量子态的"指纹"。这些精细的角关联模式表明,产生的夸克对保持着量子纠缠行为,并显著违反了描述经典物理的贝尔不等式。这是首次在强相互作用主导的系统中利用非衰变模式发现的此类量子关联特征,为粒子物理学和量子信息科学领域之间的联系开辟了新途径,相关研究方法可以直接应用于北京谱仪III(BESIII)以及我国提出的环形正负电子对撞机CEPC等。

该论文作者(按姓氏排序)为匹兹堡大学程焜博士、高能所岩斌副研究员(通讯作者)。该研究工作得到了国家自然科学基金委、中国科学院以及高能所科研启动经费支持。

论文链接:https://journals.aps.org/prl/abstract/10.1103/gmqz-v4cl

图:π+π-粒子对产生过程运动学信息示意图(左图),Belle实验数据对贝尔变量的预期结果(右图)



附件下载:

地址:北京市918信箱 邮编:100049 电话:86-10-88235008 Email:ihep@ihep.ac.cn
快盈v3 备案序号:京ICP备05002790号-1 文保网安备案号: 110402500050