title menu
首页 实验概况 组织管理 科学背景 科学意义 合作交流 科学成果 科普宣传 传媒扫描 大事记 工程图册
重要新闻
“高海拔宇宙线观测站(LHAASO)研究集体”荣获2023年度中国科学院杰出科技成就奖
“高海拔宇宙线观测站(LHAASO)研究集体”荣获2023年度中国科学院杰出科技成就奖 2023-12-28 12月23日,中国科学院2024年度工作会议在京召开。会上,中国科学院院长、党组书记侯建国为获得2023年度中国科学院杰出科技成就奖的集体和个人颁奖,中国科学院副院长、党组成员周琪宣读了授奖决定。我所“高海拔宇宙线观测站(LHAASO)研究集体”荣获中国科学院杰出科技成就奖。
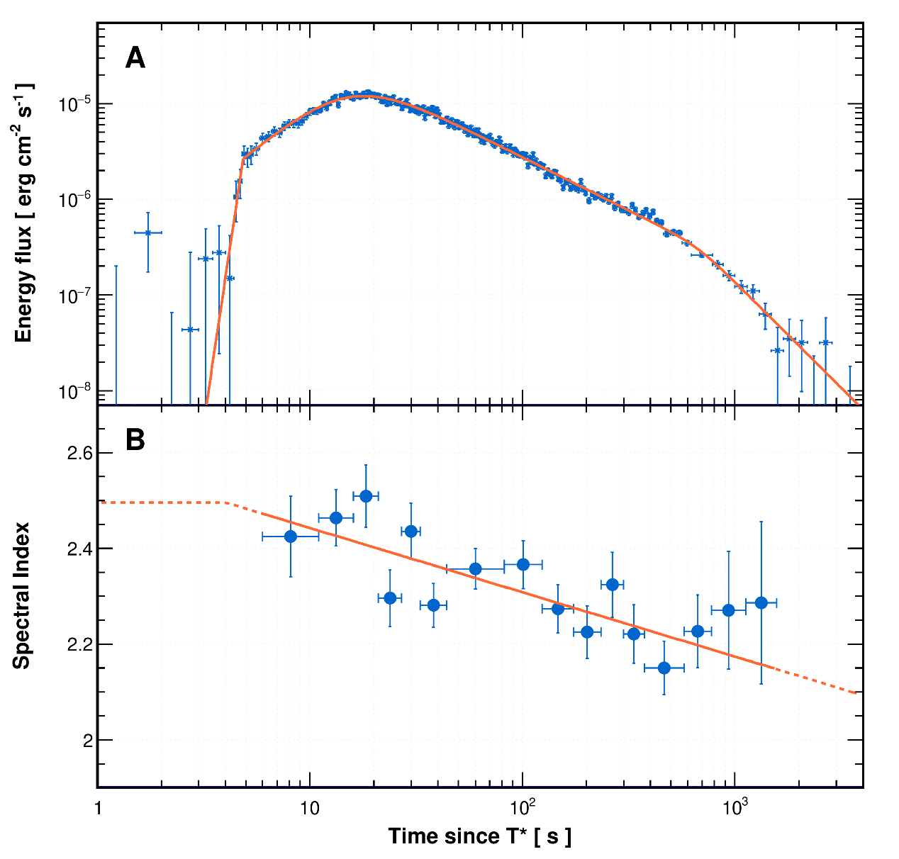
<span class="rich_media_title " id="activity-name">“拉索”精确测量迄今最亮伽马射线暴高能辐射能谱 开启新物理探索之门</span>
“拉索”精确测量迄今最亮伽马射线暴高能辐射能谱 开启新物理探索之门 2023-11-16 国家重大科技基础设施“高海拔宇宙线观测站(LHAASO)”(简称“拉索”)正式发布了迄今最亮的伽马射线暴(简称“伽马暴”,编号GRB 221009A)的高能伽马辐射的精确能谱,该结果挑战了传统的伽马暴余辉的标准辐射模型,揭示出宇宙背景光在红外波段强度低于预期。同时,该能谱为检验爱因斯坦相对论的适用范围、探索暗物质候选粒子——轴子等新物理研究方面提供了重要信息。相关结果于北...
高海拔宇宙线观测站荣获2023年中国科学院国家重大科技基础设施运行评比一等奖
高海拔宇宙线观测站荣获2023年中国科学院国家重大科技基础设施运行评比一等奖 2023-11-13 11月9-10日,中国科学院2023年国家重大科技基础设施运行年会在北京怀柔召开,高海拔宇宙线观测站(LHAASO)项目首次亮相运行年会并参与运行设施评比。LHAASO运行总负责人兼首席科学家曹臻汇报了LHAASO项目在评议年度(2022年10月-2023年9月)期间的运行总体情况,即高质量完成了各项运行任务,在运行状况、开放共享、科学成果产出、运行管理等方面表现优异,还汇报了2024年度运行计划...
大型切伦科夫望远镜阵列工程研制专题会在成都召开
大型切伦科夫望远镜阵列工程研制专题会在成都召开 2023-09-15 2023年9月14日,大型切伦科夫望远镜阵列(LACT)工程研制专题会在天府宇宙线研究中心召开。来自快盈v3、天府宇宙线研究中心、云南大学、南京大学、中山大学、中国科学院云南天文台、中国科学技术大学、中国科学院国家空间科学中心、南昌大学、西南交通大学、四川大学、成都理工大学、中电54所、中电39所等14家科研院所、高校共计40余人参加本次专题会。
高海拔宇宙线观测站工程建设总结会召开
高海拔宇宙线观测站工程建设总结会召开 2023-08-16 8月10日-11日,高海拔宇宙线观测站(LHAASO)工程建设总结会在天府宇宙线研究中心和四川稻城LHAASO观测基地召开。为LHAASO项目做出重要贡献的45家参与建设的高校院所、企事业单位代表,以及快盈v3、中国科学院成都分院参与本项目的领导和项目人员等150多人参加了本次会议。
“拉索”完整记录大质量恒星死亡瞬间万亿电子伏特伽马射线爆发全过程
“拉索”完整记录大质量恒星死亡瞬间万亿电子伏特伽马射线爆发全过程 2023-06-09 2023年6月9日,高海拔宇宙线观测站(LHAASO,中文简称“拉索”)对命名为GRB 221009A的伽马射线暴(Gamma Ray Burst,GRB)的最新观测研究成果在线发表于《科学》(Science)杂志,题为“极亮伽马射线暴221009A窄喷流的万亿电子伏特余辉”(A tera-electronvolt afterglow from a narrow jet in an extremely bright gamma-ray burst 221009A)。该论文由LHAASO国际合作组完成。
首届高海拔宇宙线观测站国际研讨会成功召开
首届高海拔宇宙线观测站国际研讨会成功召开 2023-06-06 首届高海拔宇宙线观测站国际研讨会(简称首届LHAASO研讨会,The First LHAASO Symposium)于2023年5月29日-6月2日在四川成都、稻城举办。会议由快盈v3和四川天府新区宇宙线研究中心联合主办,四川天府新区宇宙线研究中心承办,西南交通大学协办。5月29日至6月1日在宇宙线研究中心召开学术报告会,6月2日前往稻城参观LHAASO观测站。
高海拔宇宙线观测站通过国家验收
高海拔宇宙线观测站通过国家验收 2023-05-11  5月10日,国家重大科技基础设施高海拔宇宙线观测站(LHAASO)顺利通过国家验收。LHAASO是以宇宙线观测研究为核心的国家重大科技基础设施,2015年12月31日,获得国家发展和改革委员会批复立项,项目由中国科学院和四川省人民政府共建,由中国科学院成都分院与快盈v3承担建设,建设周期4年。LHAASO主体工程于2017年动工,于2021年全部完成建设。LHAASO项目先后通过...
重要新闻